HOME
ADMIN
법인소개
인사말
법인소개
연혁
조직도 및 직원현황
오시는길
사업안내
재가노인지원서비스
노인장기요양서비스
시흥시민대학
자원봉사 안내
자원봉사 신청
후원안내
후원 안내
후원 신청
나눔의 달인
게시판
공지사항
자료실
보살핌재가노인복지센터
보살핌장기요양복지센터
복지세상미래
이전자료실
보도소개
게시판
공지사항
공지사항
게시판 > 공지사항
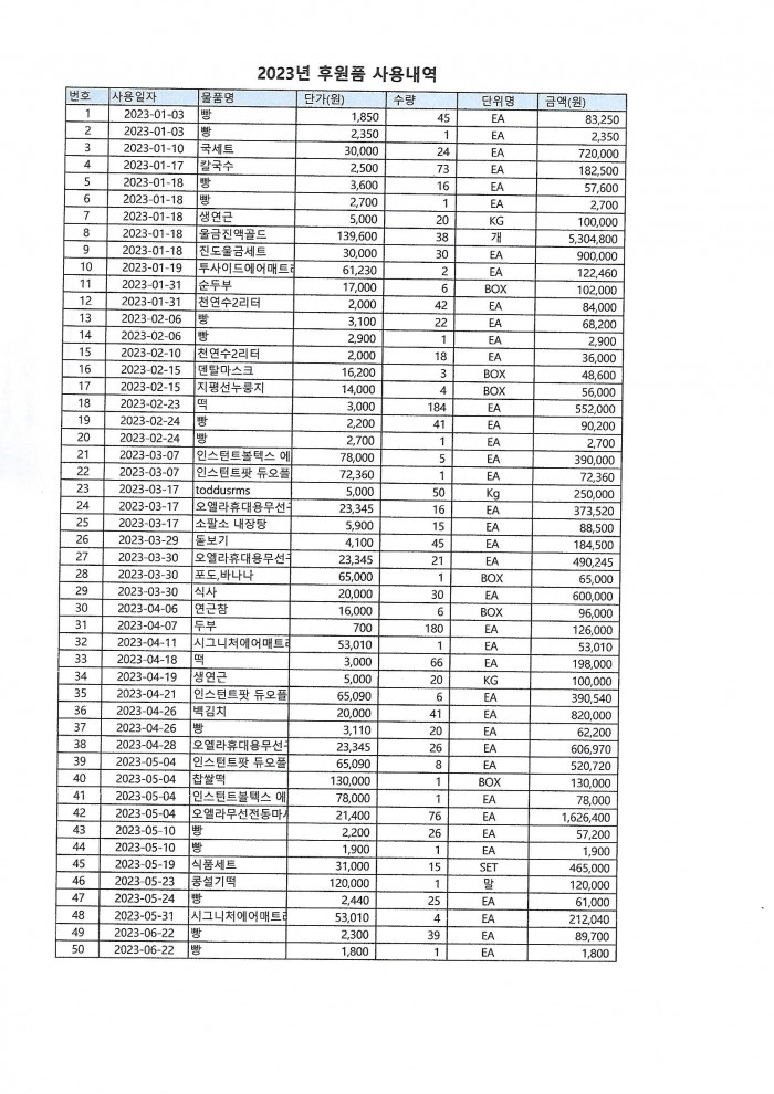
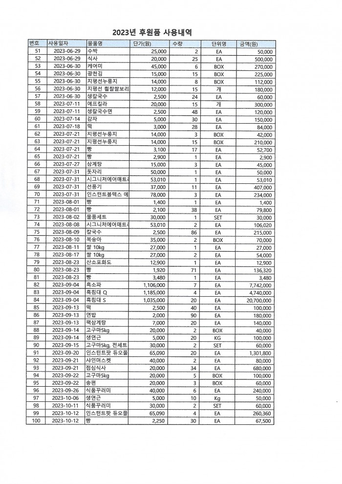
2023년 보살핌재가노인복지센터 재가노인지원서비스사업 후원금품 결산 공고
덧글
0
|
조회
3,976
|
2024-05-10 00:00:00
welfarefut
2023년 보살핌재가노인복지센터 재가노인지원서비스 사업 후원금품 결산을 아래와 같이 공고합니다.
Scan.jpg
Scan1.jpg
Scan2.jpg
Scan3.jpg
Scan4.jpg
Scan5.jpg
Scan6.jpg
Scan7.jpg
Scan8.jpg
경기도 시흥시 시흥대로 1079-1 2,3층 (경기도 시흥시 신천동 883-4)
대표자 : 김화종 TEL : 031-404-1339,031-435-0771 l FAX : 031-435-0772 | 사업자등록번호 140-82-01074
Copyright © 2014
복지세상미래
All rights reserved.